当前位置: 首页 > 砥砺奋进 > 正文

砥砺奋进

砥砺奋进

中国科大在低温结晶机理研究中取得新进展

日期:2023-04-28点击:

中国科大物理学院、合肥微尺度物质科学国家研究中心徐宁教授研究组与复旦大学物理系谭鹏教授研究组合作,在低温结晶机理的相关研究中取得重要进展,相关成果2023年4月25日在线发表于《物理评论快报》(Physical Review Letters)。

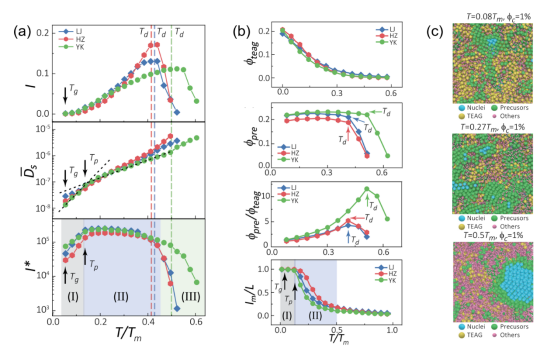
结晶是复杂的非平衡动力学过程,其中包含了多种局域结构的时空演化。厘清各种结构之间的竞争、探讨促进和阻碍晶体生长的因素一直以来都是备受关注的前沿研究内容。经典成核理论给出了结晶成核的热力学图像,然而,近年来的研究表明,经典成核理论适用于结晶温度至动力学旋节线温度的“高温”区间,成核过程伴随着显著的粒子扩散运动。在动力学旋节线温度以下的“低温”区间,由于粒子扩散运动减慢,与晶体构型不匹配的二十面体结构也参与到了成核过程中,这些都是不利于成核的因素,因此,人们有理由认为晶体生长速率会变慢。然而,研究表明晶体生长速率反倒会在低于动力学旋节线温度的时候达到最大。此外,随着温度进一步降低至玻璃化转变温度附近,玻璃化会强烈阻碍晶体成核生长。因此,扩散、结构阻挫、玻璃化转变等因素的相互作用和竞争使得“低温”区间的结晶更加复杂混乱,缺乏一个清晰的图像。

徐宁教授和谭鹏教授的合作团队运用分子动力学模拟,细致深入地探讨了“低温”区间的早期成核过程,发现了两个特征温度,这两个温度把整个温度区间划分为三个部分。较高的特征温度Td对应于最大的成核速率,在高于该特征温度的温度区间内,成核主要以粒子扩散的模式发展演化。在低于Td的温度区间内,成核以非扩散的模式进行,结晶前驱体(晶体粒子的“前身”,局域结构较有序的粒子)的数量达到饱和,同时,二十面体结构随着温度的下降而增多,当达到较低的特征温度Tp的时候,二十面体结构形成逾渗,表明玻璃化开始阻碍成核。在Tp和玻璃化温度Tg之间,由于玻璃化的阻碍,成核速率随温度降低而快速下降,但是由于粒子的的振动仍然能够推动前驱体向晶体演化,结晶依旧可以缓慢进行。在低于Tg的温度区间,由于粒子的振动太弱,结晶在可观测的时间范围内几乎不再进行。该工作给出了迄今为止低温结晶最为完整和清晰的图像,表明最大成核速率是二十面体结构与前驱体之间平衡的结果,并且厘清了多种结构和动力学之间相互影响、相互竞争的复杂关系。

图1.“低温”区间成核结晶的(a)动力学和(b)结构的温度依赖。(c)不同温度区域内晶体粒子占比达到1%时各种结构的粒子空间分布(三维体系的一个二维截面)状况。

合肥微尺度物质科学国家研究中心的博士生占梦媛是该工作的第一作者,徐宁教授和谭鹏教授为共同通讯作者。这项工作得到了国家自然科学基金委以及上海市教育局、上海市科学技术委员会的支持。

论文链接:https://journals.aps.org/prl/abstract/10.1103/PhysRevLett.130.178201


(物理学院、合肥微尺度物质科学国家研究中心、科研部)


版权所有 ©天启网投党委宣传部 地址:安徽省合肥市金寨路 96 号,邮政编码:230026

皖ICP备05002528号 皖公网安备34011102001530号